QUESTÃO 153. Um tanque, em formato de paralelepípedo reto retângulo, tem em seu interior dois anteparos verticais, fixados na sua base e em duas paredes opostas, sendo perpendiculares a elas, conforme a figura.

Esses anteparos, de espessuras desprezíveis, estão instalados de maneira a dividir a base do tanque em três retângulos congruentes, tendo suas alturas iguais à metade e a um quarto da altura do tanque. O tanque é abastecido por uma entrada situada no teto, através de um duto que despeja água a uma vazão constante, sendo necessárias 12 horas para finalizar o seu enchimento.
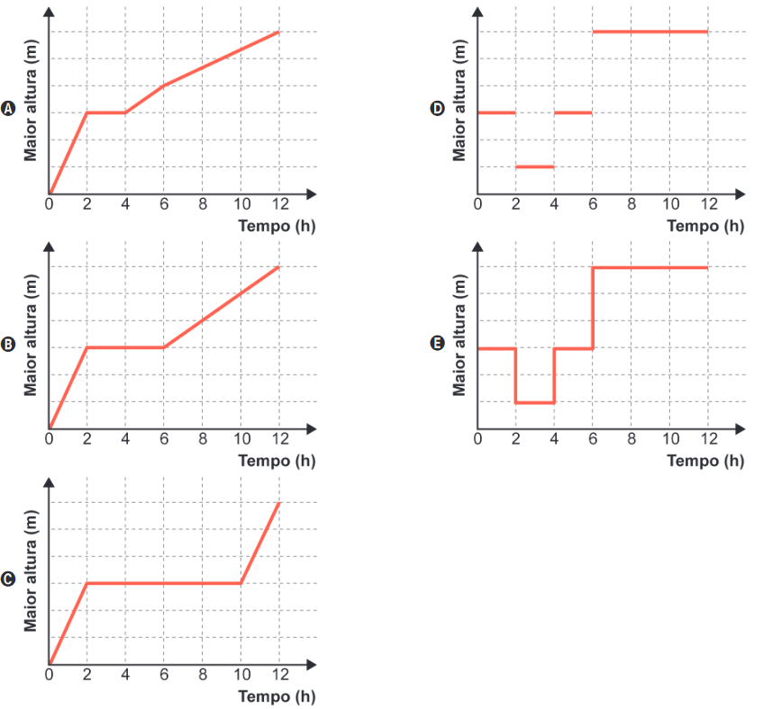
O gráfico que descreve, em cada instante, a maior altura de coluna de água, dentre aquelas que vão sendo formadas ao longo do enchimento do tanque, é

Resolução
Observe que a vasão é constante, e que o gráfico deve representar a maior altura de coluna de água.
Considerando as alturas e os espaçamentos dos anteparos, podemos dividir o tanque em 6 partes, e como o abastecimento ocorre em 12 horas, cada parte equivale a duas horas.

Durante as primeiras duas horas, a altura aumenta de forma constante, até encher a parte 6.
As próximas 4 horas são responsáveis pelo preenchimento das partes 4 e 5, onde não há aumento da altura da água.
As últimas 6 horas são responsáveis pelo enchimento das partes 1, 2 e 3. Neste caso, a altura aumenta com velocidade menor que aumentou nas primeiras duas horas, ou seja, a inclinação do gráfico entre 6 e12 horas é menor que a inclinação entre 0 e 4 horas.
Resposta: B
